Зачетное задание 2
 

AC: P24223

Дополнительный геном: SALTY.

1.Сравнение аминокислотного и нуклеотидного выравниваний
  • идентификационные номера (AC) всех четырех последовательностей

Организм

AC аминокислотной последовательности

AC Нуклеотидной последовательности

Escherichia coli К12

P24223

M76470

Salmonella typhimurium LT2

Q8ZN19

AE008817

  • координаты генов

Организм

Начало

Конец

Escherichia coli К12

244

975

Salmonella typhimurium LT2

(последовательность находится на комплементареной цепи)

14538

15269

  • построенные выравнивания: Использовалась программа needle.

Выравнивание аминокислотной последовательности:

########################################
# Program:  needle
# Rundate:  Sun Nov 28 07:15:24 2004
# Report_file: outfile
########################################
#=======================================
#
# Aligned_sequences: 2
# 1: PDXJ_ECOLI
# 2: PDXJ_SALTY
# Matrix: EBLOSUM62
# Gap_penalty: 10.0
# Extend_penalty: 0.5
#
# Length: 242
# Identity:     227/242 (93.8%)
# Similarity:   233/242 (96.3%)
# Gaps:           0/242 ( 0.0%)
# Score: 1143.0
# 
#
#=======================================


               10        20        30        40        50
PDXJ_E AELLLGVNIDHIATLRNARGTAYPDPVQAAFIAEQAGADGITVHLREDRR
       ::::::::::::::::::::: ::::::::::::::::::::::::::::
PDXJ_S AELLLGVNIDHIATLRNARGTDYPDPVQAAFIAEQAGADGITVHLREDRR
               10        20        30        40        50

               60        70        80        90       100
PDXJ_E HITDRDVRILRQTLDTRMNLEMAVTEEMLAIAVETKPHFCCLVPEKRQEV
       :::::::::::::: ::::::::::::::::::::.::::::::::::::
PDXJ_S HITDRDVRILRQTLHTRMNLEMAVTEEMLAIAVETRPHFCCLVPEKRQEV
               60        70        80        90       100

              110       120       130       140       150
PDXJ_E TTEGGLDVAGQRDKMRDACKRLADAGIQVSLFIDADEEQIKAAAEVGAPF
       ::::::::::::::::::: ::: ::::::::::::: ::.:::::::::
PDXJ_S TTEGGLDVAGQRDKMRDACARLAAAGIQVSLFIDADETQINAAAEVGAPF
              110       120       130       140       150

              160       170       180       190       200
PDXJ_E IEIHTGCYADAKTDAEQAQELARIAKAATFAASLGLKVNAGHGLTYHNVK
       :::::::::.:.::::::.::::::.:::.:: :::::::::::::::::
PDXJ_S IEIHTGCYANAETDAEQAKELARIASAATLAARLGLKVNAGHGLTYHNVK
              160       170       180       190       200

              210       220       230       240  
PDXJ_E AIAAIPEMHELNIGHAIIGRAVMTGLKDAVAEMKRLMLEARG
       ::::.::::::::::::::::::::::.::::::::::::::
PDXJ_S AIAALPEMHELNIGHAIIGRAVMTGLKEAVAEMKRLMLEARG
              210       220       230       240  

#---------------------------------------
#---------------------------------------
			

 

Выравнивание нуклеотидной последовательности:

########################################
# Program:  needle
# Rundate:  Sun Nov 28 08:00:51 2004
# Report_file: outfile
########################################
#=======================================
#
# Aligned_sequences: 2
# 1: AAC75617
# 2: AAL21472
# Matrix: EDNAFULL
# Gap_penalty: 10.0
# Extend_penalty: 0.5
#
# Length: 732
# Identity:     605/732 (82.7%)
# Similarity:   605/732 (82.7%)
# Gaps:           0/732 ( 0.0%)
# Score: 2517.0
# 
#
#=======================================


               10        20        30        40        50
AAC756 atggctgaattactgttaggcgtcaacattgaccatatcgctacgctgcg
       :::::::::::::::::::::::::: :::::::: :: :: ::: : ::
AAL214 atggctgaattactgttaggcgtcaatattgaccacattgccacgttacg
               10        20        30        40        50

               60        70        80        90       100
AAC756 caacgcgcgcggtaccgcttacccggatccggtgcaggccgcgtttattg
        :: :::::::: ::::  :: ::::::::::: ::::: ::::::::::
AAL214 taatgcgcgcggcaccgactatccggatccggtacaggcggcgtttattg
               60        70        80        90       100

              110       120       130       140       150
AAC756 ccgagcaggcgggagcggacggcattaccgtgcatttacgtgaagatcgc
       : :: ::::: :: ::::::::::::::::: ::  : :: :::::::: 
AAL214 ctgaacaggcaggcgcggacggcattaccgtacacctgcgcgaagatcgt
              110       120       130       140       150

              160       170       180       190       200
AAC756 cgtcacattactgaccgcgacgtgcgcatcctgcgtcagacgctggatac
       :: :::::::: :: ::::: :::::::: ::::::::::::::: ::::
AAL214 cgccacattaccgatcgcgatgtgcgcattctgcgtcagacgctgcatac
              160       170       180       190       200

              210       220       230       240       250
AAC756 ccgcatgaatctggagatggcggtgaccgaagagatgctggcgatcgccg
        :: ::::::::::::::::::::::::::::::::::::::::::::::
AAL214 gcgtatgaatctggagatggcggtgaccgaagagatgctggcgatcgccg
              210       220       230       240       250

              260       270       280       290       300
AAC756 ttgagacgaagccacatttttgctgcctggtaccggaaaagcgtcaggaa
       : :: :: : ::: ::::: :: :: ::::: :::::::: :: ::::::
AAL214 tagaaaccaggccgcatttctgttgtctggtgccggaaaaacgccaggaa
              260       270       280       290       300

              310       320       330       340       350
AAC756 gtaacaaccgaaggcggcctggatgtcgcagggcagcgtgacaaaatgcg
       :: :: ::::::::::: :::::::: :: :: ::::: :: ::::::::
AAL214 gtcaccaccgaaggcggtctggatgtggccggacagcgcgataaaatgcg
              310       320       330       340       350

              360       370       380       390       400
AAC756 cgatgcctgcaaacgtctggcagatgccgggattcaggtttctctgttta
        ::::::::    :: ::::: :  :: :: :: :::::::: :: ::::
AAL214 tgatgcctgtgcgcgcctggcggcggctggcatccaggtttcgctcttta
              360       370       380       390       400

              410       420       430       440       450
AAC756 ttgacgccgatgaagagcagatcaaagctgcggcagaggttggcgcaccg
       : :: :::::::::  ::: ::::: :: ::::: :: :: ::::: :::
AAL214 tcgatgccgatgaaacgcaaatcaacgcggcggcggaagtcggcgcgccg
              410       420       430       440       450

              460       470       480       490       500
AAC756 tttatcgagatccacaccggttgctatgctgatgccaaaactgacgccga
       :::::::: ::::: ::::: ::::: ::  : ::  :::: :: :: ::
AAL214 tttatcgaaatccataccggctgctacgccaacgcagaaaccgatgcgga
              460       470       480       490       500

              510       520       530       540       550
AAC756 acaggcgcaagagctggcgcgtatcgccaaagccgcgacctttgccgcaa
       ::::::  :::::::::::::::: ::::  ::::::::: : :: ::  
AAL214 acaggcaaaagagctggcgcgtattgccagcgccgcgaccctggcggccc
              510       520       530       540       550

              560       570       580       590       600
AAC756 gcctcggtctgaaagttaacgccggacacggtctgacctatcacaacgtg
       : :: :: :: ::::: :: :: :: :: ::::::::::: :: ::::: 
AAL214 gtctggggctaaaagtaaatgcgggtcatggtctgacctaccataacgtc
              560       570       580       590       600

              610       620       630       640       650
AAC756 aaagccattgccgccatccctgagatgcatgaactgaatatcggtcatgc
       ::::: ::::::::  : :: :: ::::: :: :: ::::::::::::::
AAL214 aaagctattgccgcactgccggaaatgcacgagctcaatatcggtcatgc
              610       620       630       640       650

              660       670       680       690       700
AAC756 cattattggtcgtgcagtgatgaccggactgaaagatgcggtggcagaaa
       :::::::::::: ::::::::::: :: :::::::: :::::::: ::::
AAL214 cattattggtcgggcagtgatgacggggctgaaagaggcggtggctgaaa
              660       670       680       690       700

              710       720       730  
AAC756 tgaagcgtctgatgctggaagcgcgtggctaa
       :::: ::: :::::::::::::::: ::::::
AAL214 tgaaacgtttgatgctggaagcgcgcggctaa
              710       720       730  

#---------------------------------------
#---------------------------------------
  • сравнение значений Identity двух выравниваний
Значение Identity аминокислотного выравнивания: 227/242 (93.8%)
Значение Identity нуклеотидного   выравнивания: 605/732 (82.7%)

Значение Identity нуклеотидного выравнивания ниже потому, что в нуклеотидных последовательностях происходили синонимичные замены, не влияющие на аминокислотный состав кодируемых белков, но влияющие на идентичность нуклеотидных последовательностей.

 

2.Расстояние между нуклеотидными последовательностями

ƒ-частота замен, равная отношению произошедших замен к общему количеству нуклеотидов последовательности.

ƒ=1-Ientity=0.1735

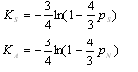
Формула Джукса-Кантора для вычисления расстояния между двумя нукл. последовательностями: d=-3/4 ln(1-3/4ƒ)

Вычисление расстояния: d= -3/4 ln(1-4/3*0.1735)= 0.197

Полученные значения отличаются друг от друга потому, что вычислении частоты замен мы считаем количество замен, произошедших по отношению ко всей длине последовательности, а при подсчете расстояния по формуле Джукса-Кантора учитывается то, что все замены в последовательности равновероятны, а также то, что возможны обратные замены в процессе эволюции.

 

 

3.Анализ участка нуклеотидного выравнивания

Выбранный участок нуклеотидного выравнивания:

  
   480       490       500 
 1 gctgatgccaaaactgacgccgaacaggcg 
   ::  : ::  :::: :: :: ::::::::  
 2 gccaacgcagaaaccgatgcggaacaggca 
   480       490       500 
 

 

M76470

AE008817

начало

724

15018

конец

754

15048

  fi-доля синонимичных замен в данной позиции.(i=1,2,3)

 

   n=3-s

1. последовательность 1:

 

gct

gat

gcc

aaa

act

gac

gcc

gaa

cag

gcg

f1

0

0

0

0

0

0

0

0

0

1/3

f2

0

0

0

0

0

0

0

0

0

0

f3

1

1/3

1

1/3

1

1/3

1

1/3

1/3

1/3

s

1

1/3

1

1/3

1

1/3

1

1/3

1/3

4/3

n

2

8/3

2

8/3

2

8/3

2

8/3

8/3

5/3

Cуммирование по всем кодонам: S1=6, N1=24

2. последовательность 2:

 

gcc

acc

gca

gaa

acc

gat

gcg

gaa

cag

gca

f1

0

0

0

0

0

0

0

0

0

0

f2

0

0

0

0

0

0

0

0

0

0

f3

1

1/3

1

1/3

1

1/3

1

1/3

1/3

1

s

1

1/3

1

1/3

1

1/3

1

1/3

1/3

1

n

2

8/3

2

8/3

2

8/3

2

8/3

8/3

2

Cуммирование по всем кодонам: S2=20/3, N2=70/3

 S=38/6

N=142/6

 

 Sd=7, Nd=2

ps=1.1

pn=0.085

Ks   невоможно вычислить, так как ps>1

Kn=0.09

 

 

 

 

 Третий семестр

 Главная страница