Cравнительный анализ канонической ДНК и стеблей тРНК

Задание №1

С помощью программы fiber пакета 3DNA были построены ДНК дуплексы разных форм:

Задание №2

Я рассмотрела структуру цитозина в Z-форме ДНК (рис 1).
В сторону большой бороздки обращены атомы C4, C5, C6, N4 - на рис 2 красным цветом.
В сторону малой бороздки обращены атомы C2, O2 - на рис 2 синим цветом.

Цитозин в Z-ДНК

Рис 1. Цитозин в Z-ДНК.
Цитозин
Рис 2. Структурная формула цитозина.

Изучим структуры из задания 1 (таблица 1).

Таблица 1. Характеристики форм ДНК.
A-форма B-форма Z-форма
Тип спирали (правая или левая) правая правая левая
Шаг спирали (Å) 28.0 33.8 37.8
Число оснований на виток 11 10 12
Ширина большой бороздки 17.0 (A/DG`9/P - B/DT`35/P) 17.2 (A/DA`6/P - B/DC`32/P) 18.6 (A/DG`7/P - B/DC`32/P)
Ширина малой бороздки 8.0 (A/DG`9/P - B/DA`26/P) 11.7 (A/DG`13/P - B/DC`32/P) 7.2 (A/DG`11/P - B/DG`33/P)

Задание №3

Проанализируем структуру тРНК 1FFY.pdb с помощью программ пакета 3DNA.

Код:
! remediator --old ''1FFY.pdb'' > ''1FFY_old.pdb
find_pair -t 1FFY_old.pdb stdout | analyze

Был получен ряд файлов, где в файле 1FFY_old.out находится нужная нам информация.
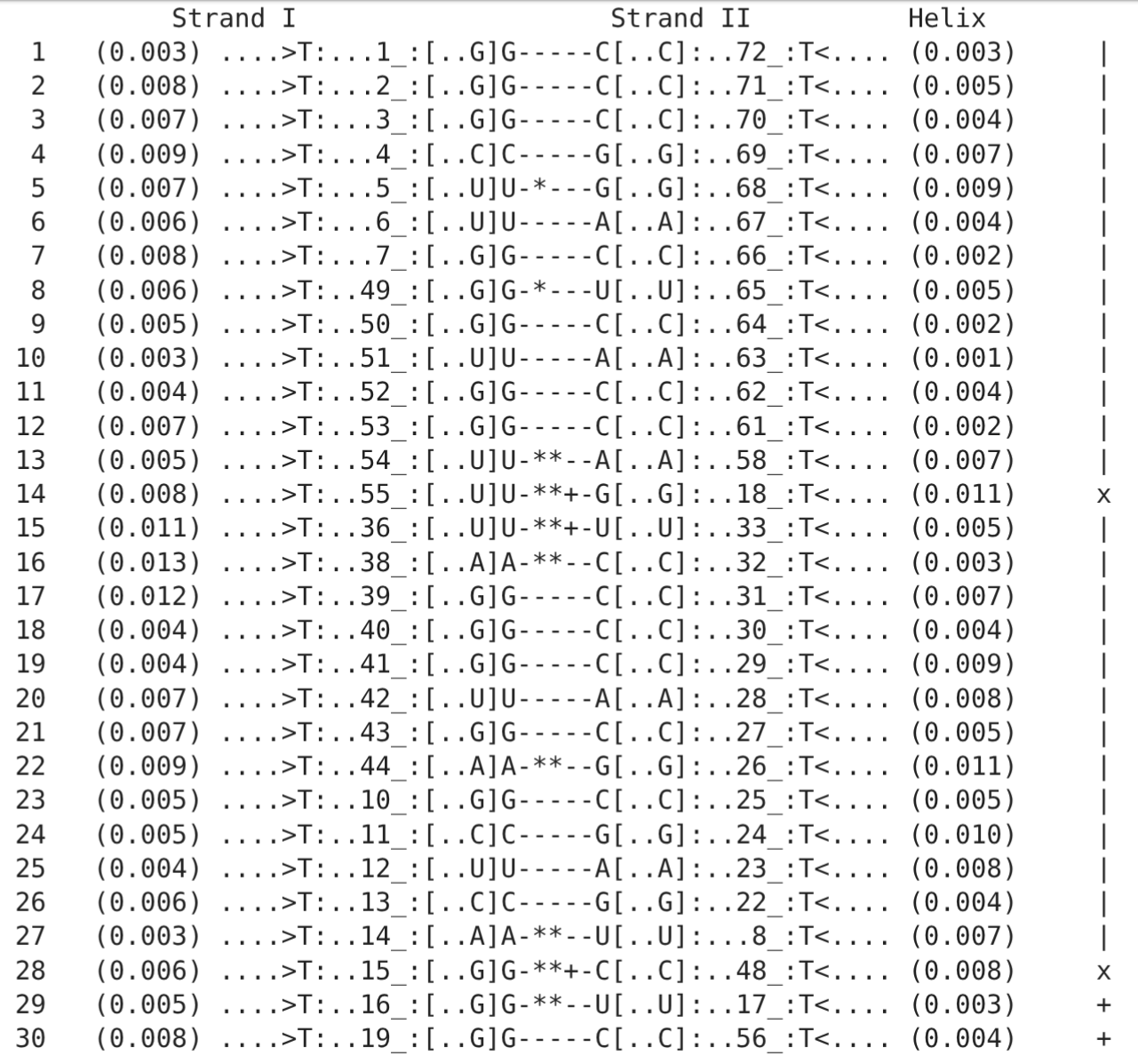
Координаты стеблей тРНК (рис 3):

Выдача водороднве пары

Рис 3. Вывод программы, характеризующий водородные связи для 1FFY.

На рис 3 так же можно найти неканонические пары оснований в структуре тРНК:

Водородные связи, не участвующие в образовании стеблей, есть дополнительные водородные связи в тРНК, стабилизирующие ее третичную структуру (рис 3):