Аминокислоты K белка XynD_Bacsu

Пространственные структуры D- и L-форм аминокислоты K

D и L-структуры аминокислоты

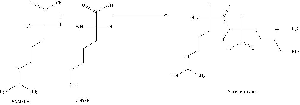
Химическая реакция образования пептида

  -- непосредственно реакция

Схема пептида

Фикоцианобилин

Рабочая книга по ACD ChemSketch