Комплексы ДНК-белок

Предсказание вторичной структуры заданной тРНК (1N78)

С помощью данной команды:

# Нахождение инвертированных участков в нуклеотидных последовательностях
einverted -sequence rcsb_pdb_1N78.fasta -gap 12 -threshold 10 -match 3 -mismatch -3 -outfile outfile -outseq seqout

был получен файл outfile с содержимым:

EMBOSS_001: Score 15: 7/9 ( 77%) matches, 0 gaps
    1 ggccccatc 9       
        |||| | ||
    31 ccggcgcag 23      

EMBOSS_001: Score 15: 10/15 ( 66%) matches, 0 gaps
    34 ctcaaggccgaaacg 48      
        | | |||  ||| ||
    69 ggggtcccccttagc 55

В результате команды:

# Перевод файла pdb в старый формат
remediator --old 1N78.pdb > 1N78_old.pdb
# Информация о 1N78
find_pair -t 1N78_old.pdb stdout | analyze

в предыдущем практикуме были получены результаты взаимодействий внутри РНК.

С помощью алгоритма Зукера было получено изображение возможной структуры тРНК (рис. 1)

тРНК
Рисунок 1. Изображение тРНК, полученное с помощью алгоритма Зукера

В таблице 1 представлены результаты сравнения применённых методов.

Таблица 1. Сравнение полученных данных
Участок структуры Позиции в структуре (по результатам find_pair ) Результаты предсказания с помощью einverted Результаты предсказания по алгоритму Зукера
Акцепторный стебель (501-507) - (572-566) (1-9) - (31-23) (1-7) - (65-71)
D-стебель (510-513) - (525-522) - (9-13) - (22-26)
T-стебель (549-553) - (565-561) - (48-52) - (60-64)
Антикодоновый стебель (539-543) - (531-527) (34-48) - (69-55) (27-31) - (39-43)
Общее число канонических пар нуклеотидов 20 17 22

Поиск ДНК-белковых контактов в заданной структуре

С помощью скрипта в Jmol были получены изображения (рис. 2, рис. 3, рис. 4, рис. 5, рис. 6).

комплекс
Рисунок 2. Изображение комплекса ДНК-белок
комплекс
Рисунок 3. Изображение только ДНК
комплекс
Рисунок 4. Изображение ДНК с атомами кислорода 2'-дезоксирибозы
комплекс
Рисунок 5. Изображение ДНК с атомами кислорода в остатке фосфорной кислоты
комплекс
Рисунок 6. Изображение ДНК с атомами азота в азотистых основаниях

Контакты ДНК-белок

С помощью друго скрипта в Jmol были получены данные о полярных и неполярных взаимодействиях между ДНК и белком. Полученные результаты представлены в таблице 2.

Таблица 2. Контакты разного типа в комплексе 1N78.pdb
'''Контакты атомов белка с''' '''Полярные''' '''Неполярные''' '''Всего'''
остатками 2'-дезоксирибозы 12 70 82
остатками фосфорной кислоты 21 27 48
остатками азотистых оснований со стороны большой бороздки 0 16 16
остатками азотистых оснований со стороны малой бороздки 9 12 21

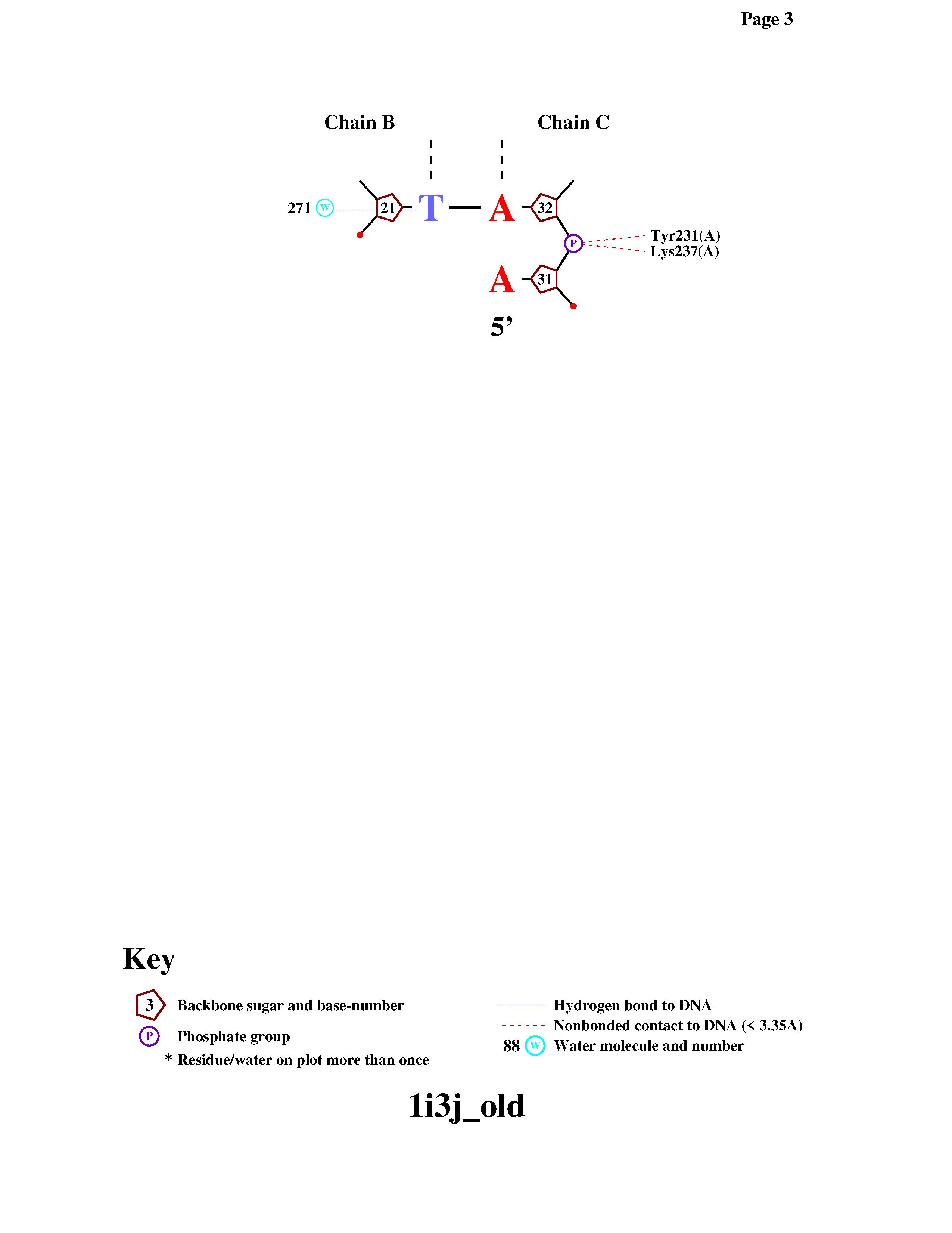
Схема ДНК-белковых контактов с помощью программы nucplot

Контакты
Рисунок 7. Изображение ДНК-белковых контактов
Контакты
Рисунок 8. Изображение ДНК-белковых контактов
Контакты
Рисунок 9. Изображение ДНК-белковых контактов

Аминокислотные остатки с наибольшим количеством контактов с ДНК:

Наиболее важным вероятнее всего является Ser176, так как он образует водородные связи с дезоксирибозой и цитозином. Ниже приведены рисунки некоторых взаимодействий (рис. 10, рис. 11)

серин
Рисунок 10. Изображение Ser176 связанного с цитозином и дезоксирибозой
лизин
Рисунок 11. Изображение Lys203 связанного с фосфатами