Химическое строение нуклеиновых кислот

Петренко Павел

Факультет биоинженерии и биоинформатики, Московский Государственный Университет имени М.В.Ломоносова

Нуклеотиды

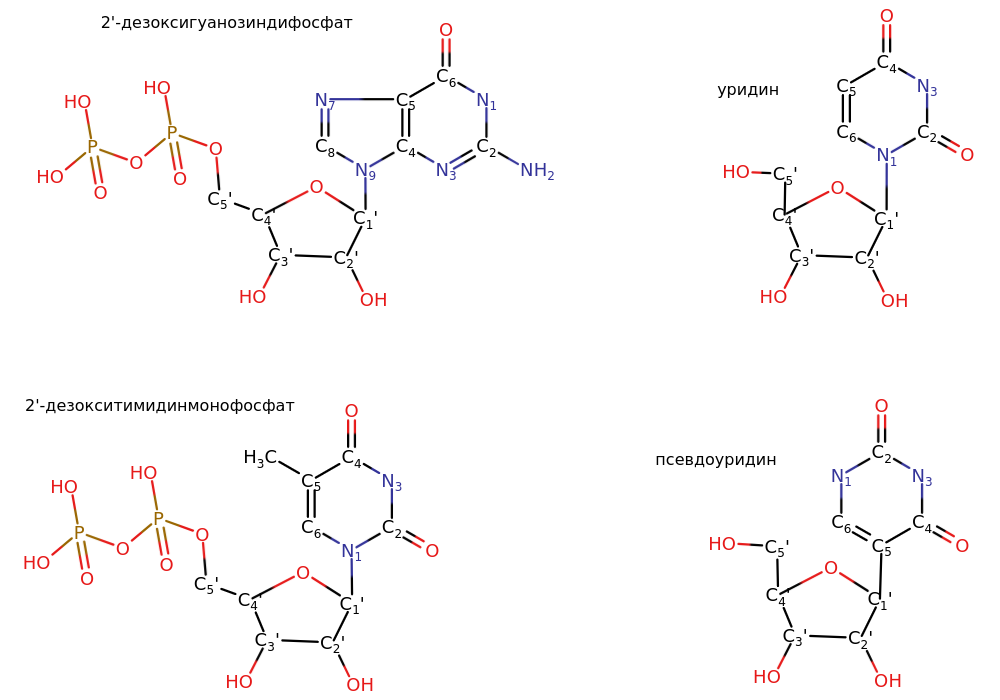
В первой части задания с помощью MarvinSketch были изображены 2'-дезоксигуанозиндифосфат, 2'-дезокситимидинмонофосфат, уридин и псевдоуридин. Они показаны на рисунке 1. (Файл с результатом: nucl).

Рис. 1. Нуклеотиды.

Фрагмент ДНК

Во второй части задания был изображён фрагмент двухцепочечной ДНК. Он приведён на рисунке 2. (Файл с результатом: nucl1).

Рис. 2. Фрагмент двухцепочечной ДНК.