Упражнение 1

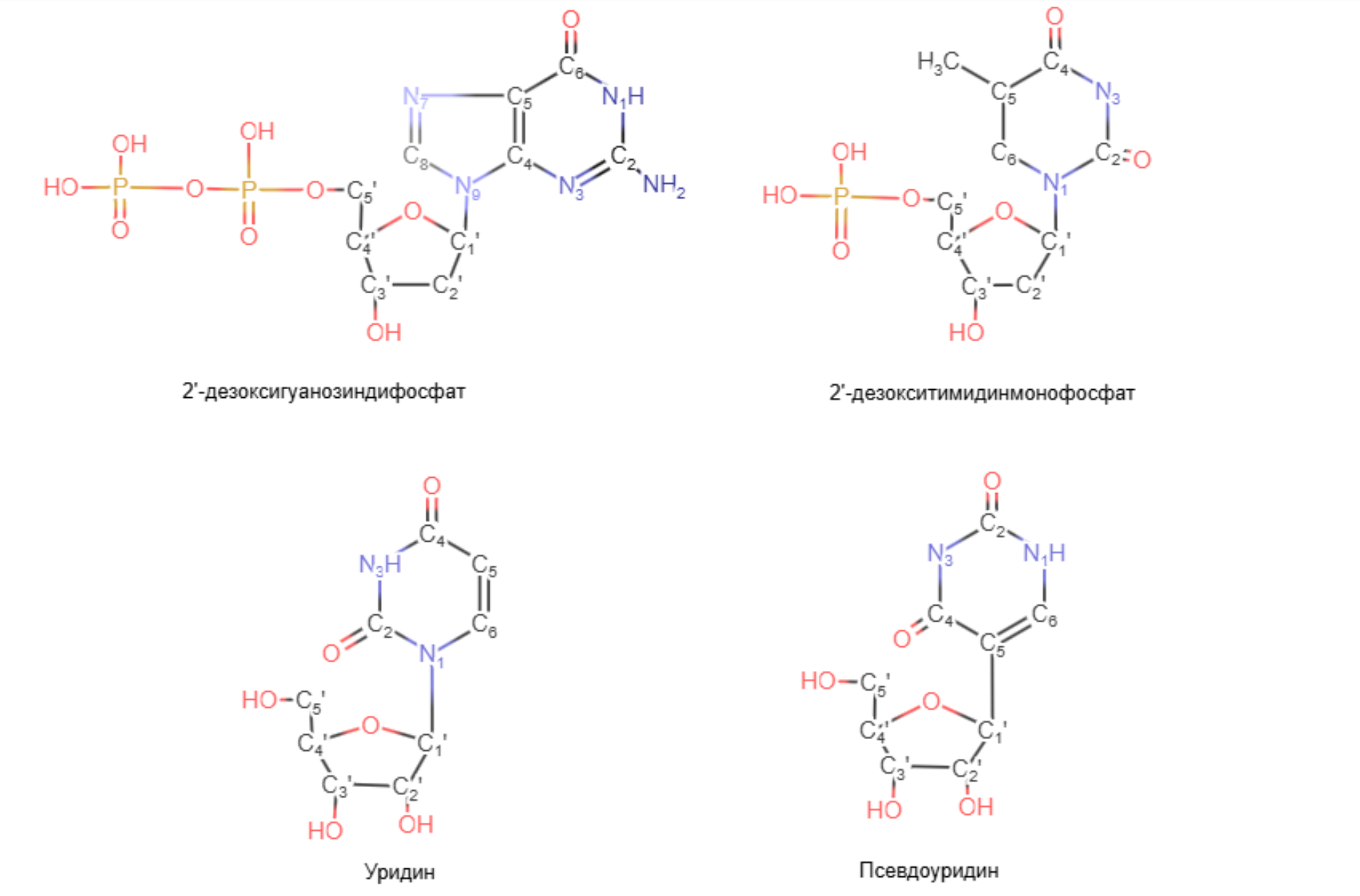
В MarvinSketch были нарисованы следующие структурные формулы: 2'-дезоксигуанозиндифосфат, 2'-дезокситимидинмонофосфат, уридин, псевдоуридин. Результаты представлены ниже на изображении.

красивое
Рис 1. Структурные формулы нуклеотидов и нуклеозидов

Упражнение 2

Также был изображен фрагмент двуцепочной ДНК.

красивое
Рис 2. Фрагмент ДНК