ТУТ ПАНЕЛЬ
На главную!
О себе любимом
Семестры
Мини-Обзор
ФББ МГУ
Практикум №2
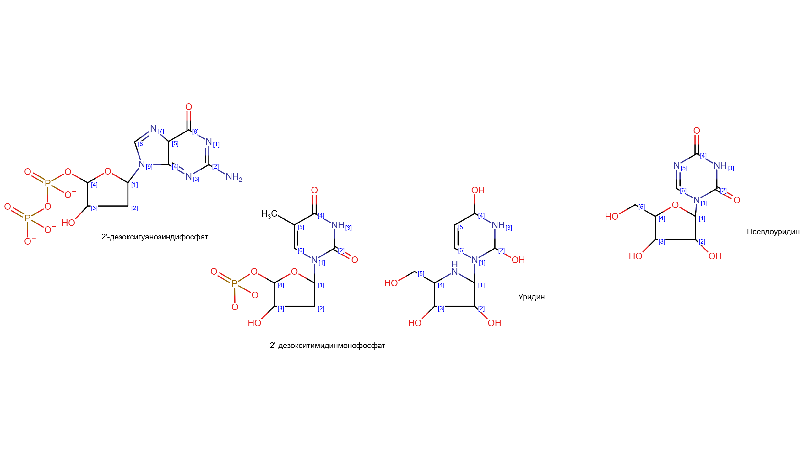
Нуклеотиды и фрагменты нуклеиновых кислот, двуцепочечный участок ДНК
Рисунок 1. Нуклеотиды и фрагменты нуклеиновых кислот
Рисунок 2. Двуцепочечный участок ДНК